Top 10 circuits fondamentaux d'amplificateurs opérationnels
En plus des résistances et des condensateurs qui sont des composants passifs, les amplificateurs opérationnels sont l'un des éléments de base des circuits électroniques analogiques.
Les amplificateurs opérationnels (op amp) sont des dispositifs linéaires qui possèdent toutes les propriétés requises pour une amplification CC presque idéale et sont par conséquent largement utilisés dans le conditionnement de signal ou le filtrage, ou pour effectuer des opérations mathématiques telles que l'addition, la soustraction, l'intégration et la différenciation. Le but de cet article est de présenter 10 circuits de base pour les nouveaux venus dans les conceptions électroniques et de rafraîchir la mémoire des ingénieurs.
1. Suiveur de tension
Le circuit le plus basique est le tampon de tension, car il ne nécessite aucun composant externe. Comme la tension de sortie est égale à la tension d'entrée, les étudiants pourraient être perplexes et se demander si ce type de circuit a une application pratique.
Ce circuit permet de créer une entrée à impédance très élevée et une sortie à faible impédance. Cela est utile pour interfacer les niveaux logiques entre deux composants ou lorsqu'une alimentation est basée sur un diviseur de tension. La figure ci-dessous est basée sur un diviseur de tension, et le circuit ne peut pas fonctionner. En effet, l'impédance de charge peut avoir de grandes variations, donc la tension Vout peut changer de manière considérable, surtout si l'impédance de charge a une valeur de même ordre de grandeur que R2.
Pour résoudre ce problème, un amplificateur entre la charge et le diviseur de tension (voir figure ci-dessous) est inséré. Ainsi, Vout dépend de R1 et R2 et non de la valeur de la charge.
Le principal objectif d'un amplificateur opérationnel, comme son nom l'indique, est d'amplifier un signal. Par exemple, la sortie d'un capteur doit être amplifiée afin que l'ADC puisse mesurer ce signal.
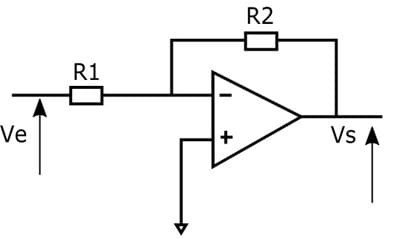
2. Amplificateur opérationnel inverseur
Dans cette configuration, la sortie est réinjectée à l'entrée négative ou inverseuse à travers une résistance (R2). Le signal d'entrée est appliqué à cette broche inverseuse à travers une résistance (R1).
La broche positive est connectée à la masse.
Cela est évident dans le cas particulier où R1 et R2 sont égaux. Cette configuration permet de produire un signal qui est complémentaire à l'entrée, car la sortie est exactement l'opposé du signal d'entrée.
En raison du signe négatif, les signaux de sortie et d'entrée sont déphasés. Si les deux signaux doivent être en phase, un amplificateur non inverseur est utilisé.
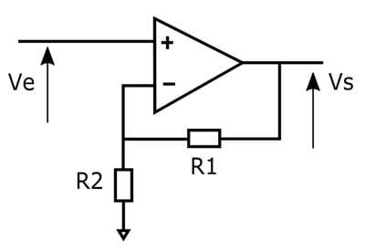
3. Amplificateur opérationnel non inverseur
Cette configuration est très similaire à l'amplificateur opérationnel inverseur. Pour le non-inverseur, la tension d'entrée est appliquée directement à la broche non-inverseuse et la fin de la boucle de rétroaction est connectée à la masse.
Ces configurations permettent l'amplification d'un signal. Il est possible d'amplifier plusieurs signaux en utilisant des amplificateurs sommateurs.
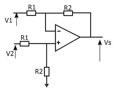
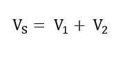
4. Amplificateur sommateur non-inverseur
Pour additionner 2 tensions, seuls 2 résistances peuvent être ajoutées sur la broche positive au circuit amplificateur opérationnel non-inverseur.
Il convient de noter que l'ajout de plusieurs tensions n'est pas une solution très flexible. En effet, si une troisième tension est ajoutée avec exactement les mêmes résistances, la formule serait Vs = 2/3 (V1 + V2 + V3).
Les résistances doivent être modifiées pour obtenir Vs = V1 + V2 + V3, ou une deuxième option est d'utiliser un amplificateur sommateur inverseur.
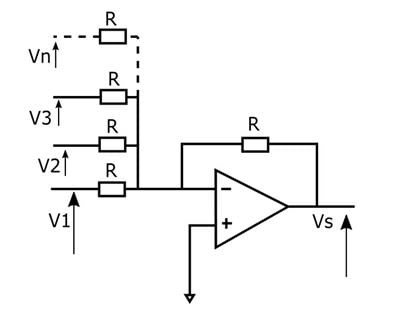
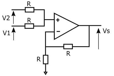
5. Amplificateur sommateur inverseur
En ajoutant des résistances en parallèle sur la broche d'entrée inverseuse du circuit amplificateur opérationnel inverseur, toutes les tensions sont sommées.
Contrairement à l'amplificateur sommateur non-inverseur, un nombre quelconque de tensions peut être additionné sans changer les valeurs des résistances.
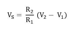
6. Amplificateur différentiel
L'amplificateur opérationnel inverseur (voir circuit numéro 2) a amplifié une tension appliquée sur la broche inverseuse, et la tension de sortie était hors phase. La broche non-inverseuse est connectée à la masse dans cette configuration.
Si le circuit ci-dessus est modifié en appliquant une tension via un diviseur de tension sur la non-inverseuse, nous obtenons un amplificateur différentiel comme illustré ci-dessous.
Un amplificateur est utile non seulement parce qu'il vous permet d'ajouter, de soustraire ou de comparer des tensions. De nombreux circuits vous permettent de modifier des signaux. Voyons les plus basiques.
7. Intégrateur
Une onde carrée est très facile à générer, en basculant simplement un GPIO d'un microcontrôleur par exemple. Si un circuit a besoin d'une forme d'onde triangulaire, une bonne méthode consiste à intégrer simplement le signal de l'onde carrée. Avec un amplificateur opérationnel, un condensateur sur le chemin de rétroaction inverseur et une résistance sur la broche d’entrée inverseuse comme illustré ci-dessous, le signal d’entrée est intégré.
Sachez qu'une résistance est souvent connectée en parallèle avec le condensateur pour des problèmes de saturation. En effet, si le signal d'entrée est une onde sinusoïdale de très basse fréquence, le condensateur agit comme un circuit ouvert et bloque la tension de rétroaction. L'amplificateur se comporte alors comme un amplificateur en boucle ouverte classique avec un gain en boucle ouverte très élevé, et l'amplificateur est saturé. Grâce à une résistance en parallèle du condensateur, le circuit se comporte comme un amplificateur inverseur à basse fréquence, et la saturation est évitée.
8. Amplificateur opérationnel différenciateur
Le différenciateur fonctionne de manière similaire à l'intégrateur en échangeant le condensateur et la résistance.
Toutes les configurations qui ont été présentées jusqu'à présent.
9. Convertisseur courant – tension
Un photodétecteur convertit la lumière en courant. Pour convertir le courant en tension, un circuit simple avec un amplificateur opérationnel, une boucle de rétroaction via une résistance sur l'entrée non-inverseuse, et la diode connectée entre les deux broches d'entrée, permet d'obtenir une tension de sortie proportionnelle au courant généré par la photodiode, ce qui est manifeste par les caractéristiques de la lumière.
Le circuit ci-dessus applique la loi d'Ohm avec la formule fondamentale : la tension est égale à la résistance multipliée par le courant. La résistance est en Ohms et est toujours positive. Mais grâce aux amplificateurs opérationnels, une résistance négative peut être conçue !
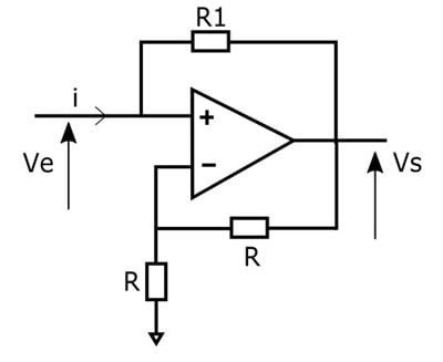
10. Résistance négative
Une rétroaction sur la broche inverseuse force la tension de sortie à être le double de la tension d'entrée. Comme la tension de sortie est toujours supérieure à la tension d'entrée, la rétroaction positive à travers la résistance R1 sur la broche non-inverseuse simule une résistance négative.
Enfin, un circuit avec amplificateur opérationnel ne modifie pas nécessairement le signal d'entrée, mais l'enregistre comme l'amplificateur détecteur de crêtes.
Aussi : Amplificateur opérationnel de détecteur de crête
Le condensateur est utilisé comme une mémoire. Lorsque la tension d'entrée sur l'entrée non-inverseuse est supérieure à la tension sur l'entrée inverseuse, qui est également la tension aux bornes du condensateur, l'amplificateur entre en saturation et la diode est polarisée en direct et charge le condensateur. En supposant que le condensateur n'ait pas de décharge spontanée rapide, lorsque la tension d'entrée Ve est inférieure à la tension aux bornes du condensateur, la diode est bloquée. Ainsi, la tension de crête est enregistrée grâce au condensateur.
De nombreux autres circuits sont disponibles avec des amplificateurs opérationnels, mais comprendre ces 10 circuits fondamentaux vous permet d'étudier facilement des circuits plus complexes.
Newsletter
Êtes-vous sur la liste ?
Inscrivez-vous pour recevoir des offres exclusives, des annonces de produits et les dernières actualités de l'industrie.

Étiquettes d'article