Arrow Electronic Components Online

Formule de conversion AC en DC : Comment convertir AC en DC

AC to DC08 août 2024
Une unité d'alimentation électrique numérique compacte avec un affichage LED clair montrant les lectures de tension et de courant.
Voir tous les articles

Apprenez les bases mathématiques de la conversion de puissance AC à DC et comment alimenter des appareils DC à partir d'une source AC. 

Conversion de courant alternatif en courant continu

La conversion physique du courant alternatif (AC) en courant continu (DC) implique plusieurs étapes et un dispositif appelé redresseur. Heureusement, effectuer la conversion mathématique est assez simple.

En général, nous exprimons la tension CC en tant que tension efficace CA. RMS signifie valeur quadratique moyenne et fait référence à la racine carrée de la moyenne (arithmétique) des carrés de toutes les valeurs de l'ensemble. Dans le cas des formes d'onde CA sinusoïdales typiques, la valeur efficace sur l'ensemble du temps est égale à la valeur efficace d'une période de l'onde. Cela est possible car nous supposons que l'onde est identique à chaque période.

La valeur efficace (RMS) pour une forme d'onde CA standard est égale à la tension de crête divisée par la racine carrée de deux, comme illustré dans cette formule RMS à CC :

Équation RMS pour la conversion AC à DC :

The image displays the RMS formula, showcasing the relationship between peak voltage (Vp) and the square root of 2.

Si nous connaissons la tension de crête d'un courant alternatif, nous pouvons rapidement déterminer la tension continue nécessaire. Divisez la tension de crête par la racine carrée de deux pour obtenir la tension efficace, qui équivaut à la tension continue requise. Il est important de noter que cela détermine l'équivalent théorique de la tension continue basé sur la tension de crête en courant alternatif, et non la tension continue exacte qui résultera de toute conversion réelle. Malheureusement, seules les conversions hypothétiques maintiennent une efficacité à 100 pour cent.

Mettre la théorie en pratique

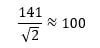
Nous pouvons utiliser l'équation de la RMS ci-dessus pour déterminer et permettre la conversion de l'AC en dispositifs DC alimentés par courant continu. Comme exemple théorique, une ampoule à incandescence brillera aussi intensément sous 141V AC (tension de crête) et 100V DC, puisque nous exprimons le RMS de 141V de crête comme :

Mathematical equation with square root

Cette équation nous permet également de travailler à rebours à partir de l'appareil, en connaissant ses besoins en puissance continue, pour calculer l'entrée CA nécessaire. Avec ces informations, nous pouvons convertir l'alimentation CA du réseau électrique à la tension appropriée pour alimenter l'appareil. N'oubliez pas, bien sûr, que dans une application réelle, vous devrez tenir compte des pertes dues à l'inefficacité de la conversion. Cette équation peut constituer un bon point de départ pour les applications pratiques.

La conversion de la tension AC en DC est assez simple mathématiquement et constitue une base pour comprendre les conversions nécessaires afin d'alimenter avec succès des dispositifs DC à partir d'une alimentation AC standard du réseau de distribution électrique.

Étiquettes d'article

Global
Alimentations AC vers DC
Alimentations électriques
Article

Contenu connexe